Deliver to United Kingdom
0
Products Found: 737
Showing Results For: Biochemistry - Frequent use

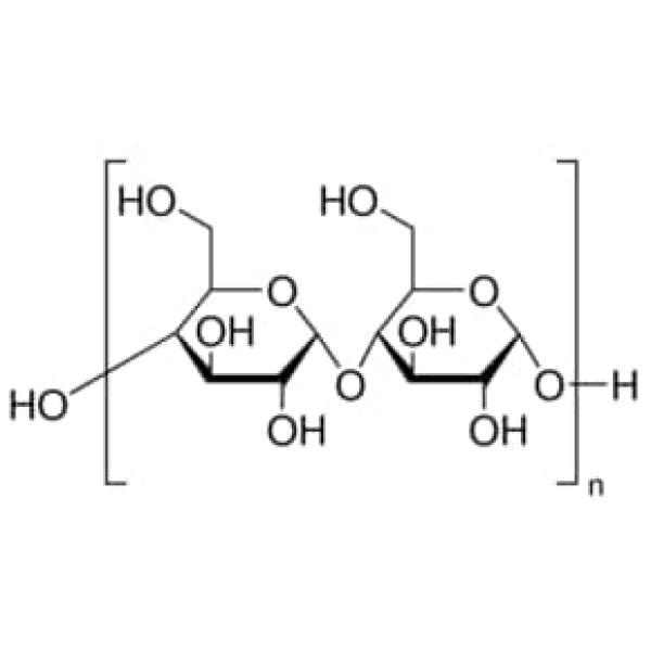
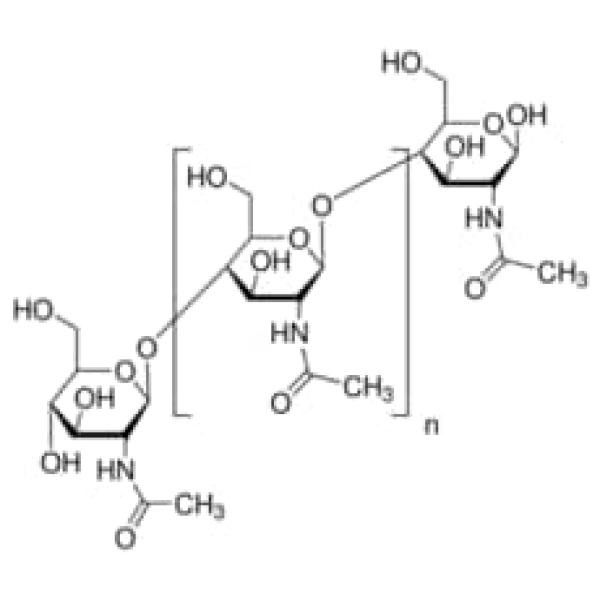
Biochemistry - Frequent use



allied chemi
  • secure-payment
  • visa
  • american-express
  • master-card

© 2026 Copyright. All Rights Reserved.