Deliver to United Kingdom
0
Products Found: 177
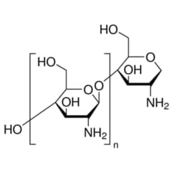
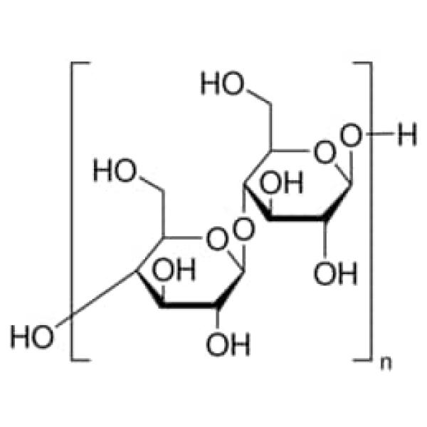
Showing Results For: Material Science - R&D Specialties

Material Science - R&D Specialties



allied chemi
  • secure-payment
  • visa
  • american-express
  • master-card

© 2023 Copyright. All Rights Reserved. Unit 19, Euroway House, Roydsdale Way, Bradford, BD4 6SE, UK