Product details for (10795224) Chloramphenicol[56-75-7]
Product details for (12441465) Cephalothin sodium salt[58-71-9]
Product details for (12855736) Cephradine hydrate[38821-53-3]
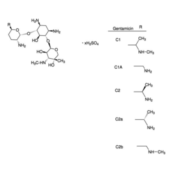
Product details for (10336465) Gentamycin Sulfate[1405-41-0]
Office 19 Titan Business Centre, Euroway House, Roydsdale Way, Bradford, United Kingdom, BD4 6SE +44 (0) 3303 800 157 info@alliedchemi.com
© 2026 Copyright. All Rights Reserved.